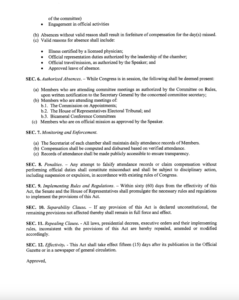
The Philippines could soon see a new principle guiding the behavior of its lawmakers with a proposed “no work, no pay” bill aimed at members of Congress. Introduced by House Majority Leader and Ilocos Norte’s 1st district representative Sandro Marcos, the bill seeks to ensure that legislators are compensated only for performing official duties. The core idea is simple: pay should be tied to actual legislative activity, such as attending plenary sessions, participating in committee hearings, and engaging in other official functions. Absences that lack a valid, documented reason would result in the forfeiture of compensation for the days missed, reinforcing accountability and encouraging consistent attendance.


The bill frames a clear standard for what constitutes work within the legislative branch. It emphasizes that compensation is not a blanket entitlement but a reflection of the time and effort lawmakers invest in their official duties. By tying pay to attendance and participation, proponents argue the measure would incentivize Members of Congress to prioritize their public responsibilities, ensuring that the business of the Senate and the House of Representatives proceeds with fewer gaps and more accountability to constituents.
Supporters of the proposal contend that it could address concerns about inconsistent attendance and perceived neglect of legislative duties. In a system where salaries are often viewed as guaranteed regardless of daily presence in sessions or committee meetings, the bill aims to align compensation with actual performance. Proponents may also suggest that the measure would promote a culture of responsibility and discipline within the halls of power, encouraging lawmakers to maintain steady engagement with the issues and legislation that affect the public.
Critics, however, might raise questions about the practicality and potential unintended consequences of a “no work, no pay” regime. They may point to the complexities of legislative work, which can include research, consultations, and deliberations that occur outside formal sessions and may not always be visible to the public. There could also be concerns about how to accurately measure “official duties” across different committees and roles, and how to account for legitimate reasons for absence, such as medical issues, emergencies, or official travel on behalf of the chamber.
Beyond pay and attendance, the bill could have broader implications for how legislative offices manage workloads and schedules. If enacted, it might prompt more stringent tracking of attendance and clearer definitions of what constitutes official activity. It could also influence how lawmakers balance other responsibilities, including district casework, public engagements, and policy development, with the demands of national governance.
As with any proposed reform, the fate of the “no work, no pay” bill will depend on deliberations within committees, votes in the House, and possible negotiations with the Senate and the executive branch. The outcome will reveal whether lawmakers and the public view the measure as a necessary check on attendance and accountability or as a policy that could complicate the functioning of the legislative process. Regardless of the eventual decision, the proposal underscores a ongoing conversation about accountability, performance, and the standards to which public officials should be held.